• Предмет: Алгебра
  • Автор: pearsl
  • Вопрос задан 2 года назад

Срочно!!!!! Даю 20 баллов!!!

Приложения:

Ответы

Ответ дал: AMuhammad11uzbek
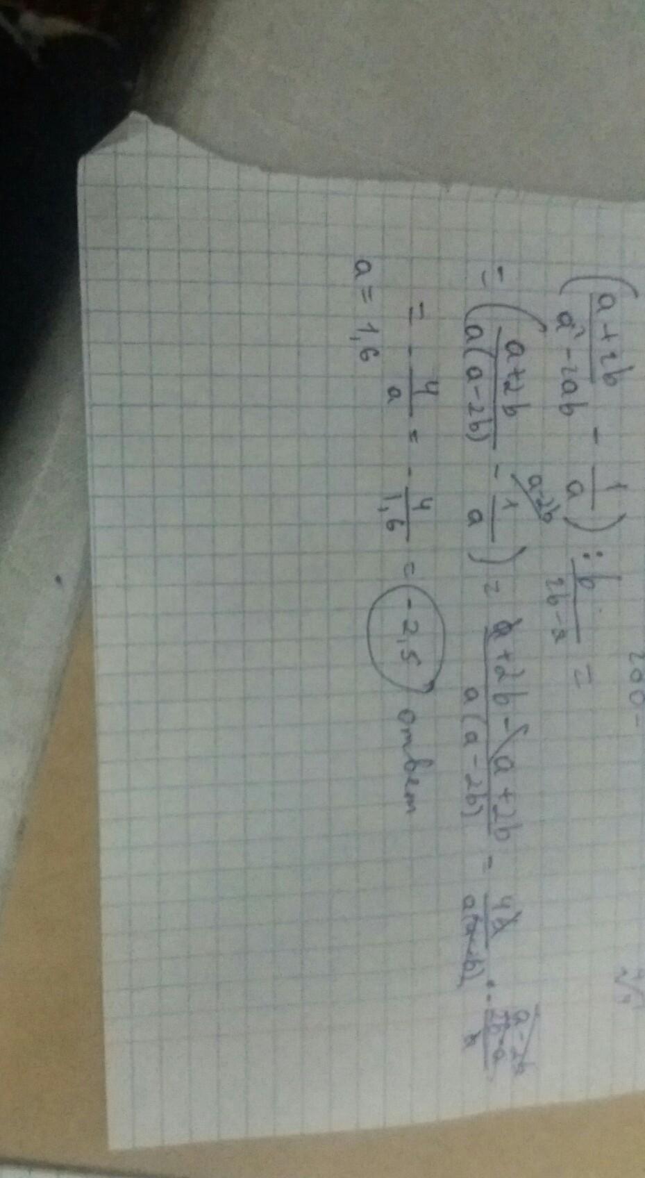
1

Ответ:

вот ответ с объяснением

Приложения:

AMuhammad11uzbek: теперь дай мне 20балов
Аноним: ты очень любишь математику помоги мне сделать задание ✅
AMuhammad11uzbek: хорошо какое задание
Вас заинтересует