Ответы
Ответ дал:
1
Ответ:
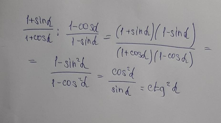
ctg²a
это для 20 символов. Если что, предпоследний шаг-это основное тригонометрическое тождество.
Приложения:

Вас заинтересует
1 год назад
1 год назад
1 год назад
3 года назад
3 года назад
8 лет назад