• Предмет: Алгебра
  • Автор: ulbaev92
  • Вопрос задан 2 года назад

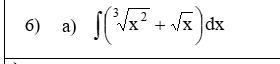
Помогите пожалуйста рещить

Приложения:

Ответы

Ответ дал: dimapisarev2019
0

Ответ:

X^(5/3)/(5/3)+x^3/2/(3/2)

Объяснение:

Вас заинтересует