• Предмет: Математика
  • Автор: likamag234
  • Вопрос задан 2 года назад

Если не прикрепится изображение - прошу прощения. Я перезалью.

Приложения:

Ответы

Ответ дал: gmlshtlk
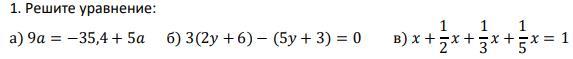
1

а) 9а=-35,4+5а

9а-5а=-35,4

4а=-35,4

а=-8,85

б) 3(2у+6)-(5у+3)=0

6у+6-5у-3=0

6у-5у=3-6

у=-3

в) х+1/2х+1/3х+1/5х=1 (умножаем на 30 обе части уравнения)

30х+15х+10х+6х=30

61х=30

х=30/61

Вас заинтересует