Cu+HNO3 -->Cu(NO3)2+NO+H2O
Расставить коэффициенты методом электронного баланса
Подробно,пожалуйста
Друзья,очень нужно!
Ответы
Ответ дал:
0
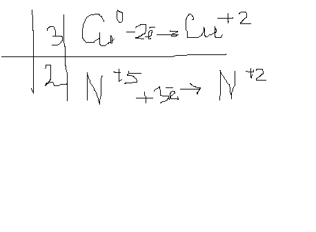
медь восстановитель процесс окисления
азот окислитель процесс восстановления
3Сu+8HNO3= 3Cu(NO3)2+2NO+4H2O
Приложения:

Вас заинтересует
2 года назад
2 года назад
8 лет назад
8 лет назад
10 лет назад
10 лет назад