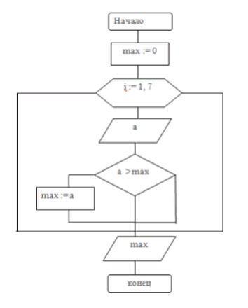
Организовать цикл "Для" для 7 итераций, ввести 7 чисел и найти max число из
введенных чисел. Вывести мах число.
В PascalABC
Приложения:
Ответы
Ответ дал:
1
Ответ:
var a,i,max: integer;
begin
max:=0;
for i:=1 to 7 do
begin
readln(a);
if (a>max) then max:=a;
end;
writeln(max);
end.
Вас заинтересует
2 года назад
2 года назад
2 года назад
3 года назад
3 года назад
9 лет назад