• Предмет: Химия
  • Автор: Yra0123
  • Вопрос задан 2 года назад

Химия, помогите пж 30 БАЛЛОВ!!!!

Приложения:

Ответы

Ответ дал: minyazovbulat
0

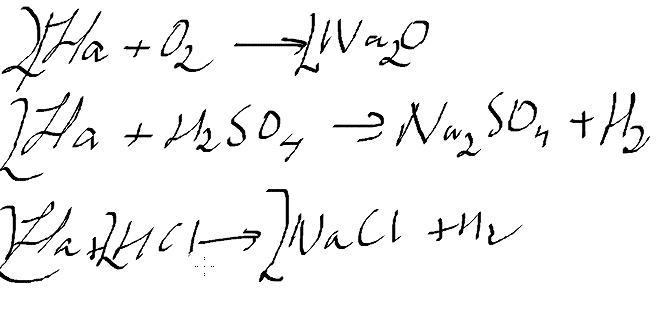
Ответ:

на скрине

Объяснение:

Приложения:
Вас заинтересует