• Предмет: Химия
  • Автор: anaya2663grybc36
  • Вопрос задан 2 года назад

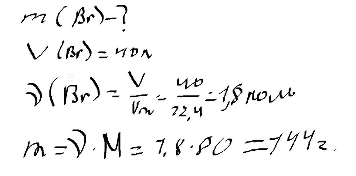
розрахувати масу брому ,яка може пропагувати з 40л. (н.у) етену​

Ответы

Ответ дал: minyazovbulat
1

Ответ:

на скринееееееееее

Объяснение:

Приложения:
Вас заинтересует