• Предмет: Химия
  • Автор: sdhdhdbe20
  • Вопрос задан 2 года назад

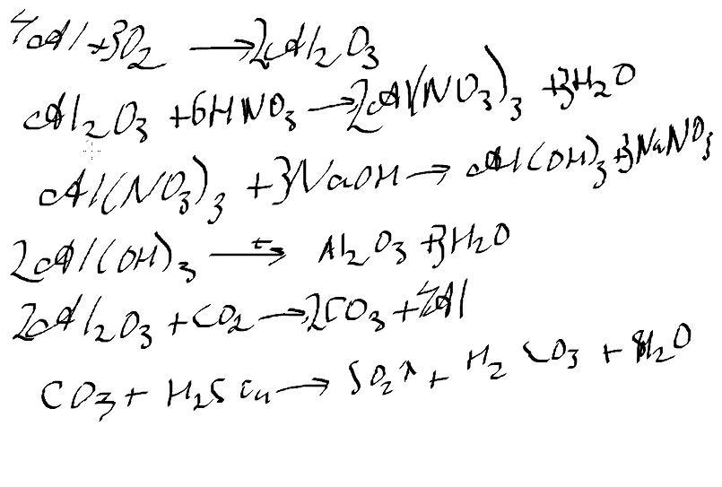
A) Al -> Al2O3 -> Al(NO3)3 -> Al(OH)3 -> Al2O3>Co2>H2Co3

Срочно плиз

Ответы

Ответ дал: minyazovbulat
3

на скрине посмотри там реакции

Приложения:

sdhdhdbe20: Спасибо большое
Вас заинтересует