• Предмет: Алгебра
  • Автор: kipr2002
  • Вопрос задан 2 года назад

ПОМОГИТЕ ПОЖАЛУЙСТА
!!!!!!!!!!!!!!!!!!!!!!!!!!!!!!!!!!!!!!!!!!!!!!!!!!!!!!!!!!!!!!!!!!!!!!!!!!!!!!!!!!!!!!!

Приложения:

Ответы

Ответ дал: Valeria444444
1

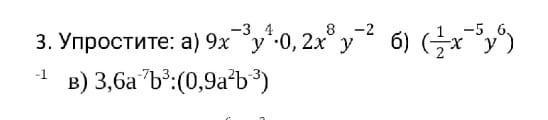
Решения примеров на фотографии:

Приложения:
Вас заинтересует