• Предмет: Алгебра
  • Автор: kipr2002
  • Вопрос задан 2 года назад

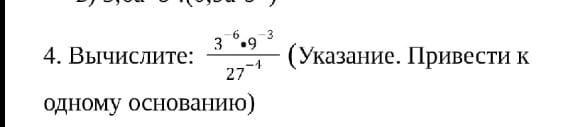
ПОМОГИТЕ ПОЖАЛУЙСТА
ВЫ МНЕ ПОМОЖЕТЕ КАК НИКТО ДРУГОЙ !!!!!!!!!!!!!!!!!

Приложения:

Ответы

Ответ дал: Valeria444444
1

Все решенные примеры на фотографии:

Приложения:
Вас заинтересует