• Предмет: Химия
  • Автор: ymnichka237
  • Вопрос задан 2 года назад

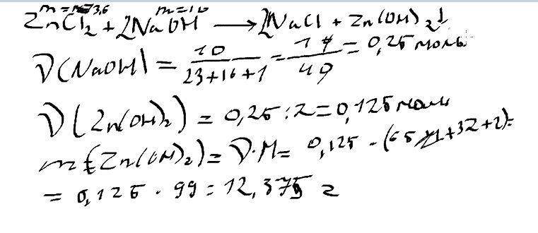
На цинк хлорид масою 13,6 г подіяли натрій гідроксидом масою 10 г. Обчисліть масу осаду після закінчення взаємодії речовин.

Ответы

Ответ дал: minyazovbulat
8

Ответ:

Объяснение:

на скрине

Приложения:

ymnichka237: Дякую за відповідь. В мене таке питання: чому Ви виконували задачу саме через NaOH, а не ZnCl2 ?
Вас заинтересует