Сросно помогите у нас проверочная на уроке плиз срочно очень надо я эти темы болел и ниче не знаю плииииииизззз помогите очень срочно даю 52 б карточка по алгебре отличники помогите
Приложения:

Ответы
Ответ дал:
0
Ответ:
3х/4у^3
Объяснение:
18х^3у/24x^2y^4=(сокращаем на 6) 3х/4у^3
Ответ дал:
1
Ответ:
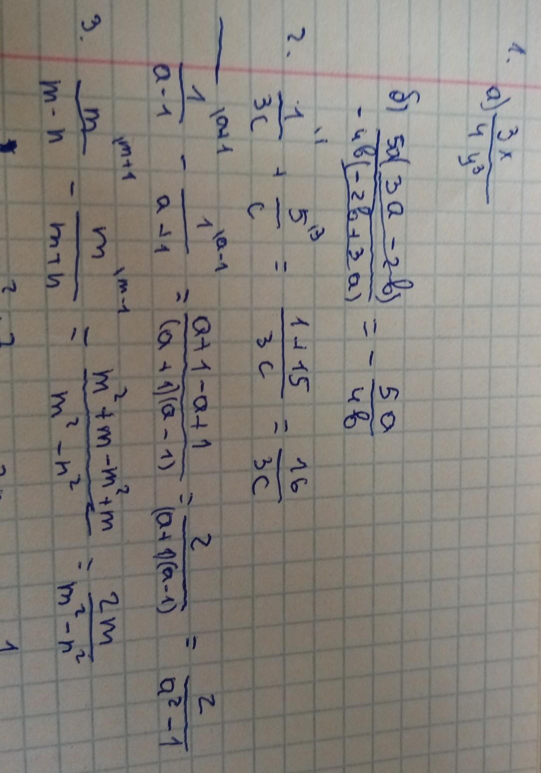
1,2 сделал полностью, в 3 только а знаю, вроде так
Приложения:


Вас заинтересует
1 год назад
1 год назад
3 года назад
3 года назад
8 лет назад
8 лет назад