• Предмет: Алгебра
  • Автор: yakubovsultan
  • Вопрос задан 2 года назад

Интегралы,пожалуйста помогите решить!
Заранее Спасибо!

Приложения:

sangers1959: Любое из трёх решу.
yakubovsultan: Помоги пожалуйста
yakubovsultan: Помоги решить все
yakubovsultan: А я все баллы тебе дам
sangers1959: Хорошо. Если так нужно ...

Ответы

Ответ дал: sangers1959
0

Ответ:

Объяснение:

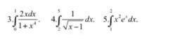
3.

\int\limits^1_0 {\frac{2x}{1+x^{4} } } \, dx

Пусть х²=t     ⇒

dt=d(x²)=2xdx

\int\limits^1_0 {\frac{dt}{1+t^{2} } } \,  =arctg(t)=arctg(x^{2} )|_{0} ^{1} =arctg1-arctg0=\frac{\pi }{4} -0=\frac{\pi }{4} .

Ответ: ≈0,7854.

4.


kyrgyz98: Здраствуйте пожалуйста помогите мне ​ https://znanija.com/task/35916414?utm_source=android&utm_medium=share&utm_campaign=question
kyrgyz98: с математикой
sangers1959: Меня с решением больше не пускают. В 4. ответ: 2. Дайте ещё раз задание и оцените в 5 баллов - Я Вам дорешаю.
kyrgyz98: пожалуйста мне тоже помогите
Вас заинтересует