• Предмет: Математика
  • Автор: vsin2020
  • Вопрос задан 2 года назад

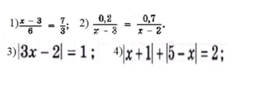
помогите пожалуйста решить уравнения

Приложения:

Ответы

Ответ дал: vfrtri06
0

Ответ:

1)x-17/6   2)x=17/5 3)x1=1/3;x2=1 4) нет корней

Пошаговое объяснение:

Вас заинтересует