• Предмет: Математика
  • Автор: vaceslavmechtanov200
  • Вопрос задан 2 года назад

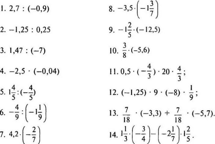
Найти значение выражения:

Приложения:

Ответы

Ответ дал: alexzaitsev06
0

Ответ:

1)-3

2)-5

3)-0,21

4)0,1

5)-2,25

6)0,4

7)-1,2

8)5

9)17,5

10)-2,1

11) -160/9

12)10

13)-3,5

14)-1/7

Вас заинтересует