• Предмет: Алгебра
  • Автор: neispravimiysaigak
  • Вопрос задан 2 года назад

ПОМОГИТЕ ПОЖАЛУЙСТА СРОЧНО!!!!!

Приложения:

Ответы

Ответ дал: nazaiat
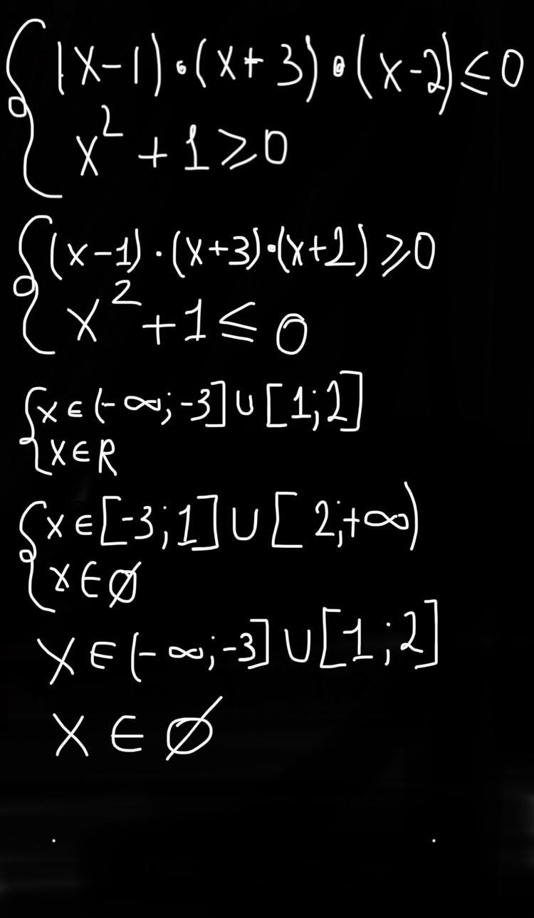
1

Ответ:x € (-♾ ;-3) U [ 1;2]

Объяснение:

Приложения:
Вас заинтересует