• Предмет: Математика
  • Автор: LUXYPR1NCE
  • Вопрос задан 2 года назад

Математика(Интегралы) 50 балов

Приложения:

Ответы

Ответ дал: zveryakovanata
1

Ответ:

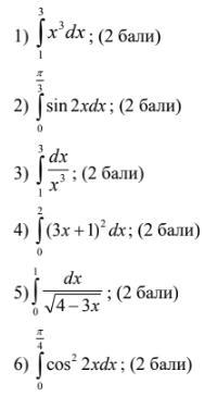
Пошаговое объяснение: 1) ∫₁³х³dx= x⁴/4|₁³ = 3⁴/4 - 1⁴/4 = 81/4 - 1/4 = 80/4 =20     2)∫₀ⁿ⁾³Sin2xdx = -1/2 · Cos2x |₀ⁿ⁾³ = 1/2· (Cos π/3-Cos0)= 1/2·(1/2 - 1)= 1/2 · (-1/2)= -1/4   3) ∫₁³dx/x³ =  ∫₁³x⁻³dx = -1/2 ·x⁻²|₁³= -1/2·(1/3² - 1/1²)= -1/2·( 1/9 - 1) = -1/2 · (-8/9)= 4/9     4)  ∫₀²(3x+1)²dx= ∫₀²(9x²+6x+1)dx= (9x³/3 +6x²/2 +x) |₀² = (3x³+3x²+x)|₀² = (3·8+3·4+2) -0= 38       5)  ∫₀¹ dx/√(4-3x) = -1/3 · ∫₀¹ d(4-3x)/√(4-3x) =-1/3 · 2√(4-3x) |₀¹ = -2/3 · (√(4-3) -√(4-0) ) = -2/3 · (1 - 2) = 2/3                                                6)∫₀ⁿ⁾⁴ Cos²2xdx  =1/2·∫₀ⁿ⁾⁴ (1+Cos4x)dx = 1/2·(x+1/4·Sin4x) |₀ⁿ⁾⁴ = 1/2 ·π/4 +1/8 ·(Sin π - Sin0) = π/8 + 1/8·0 = π/8


LUXYPR1NCE: Большое спасибо но уже поздно) Если не сложно, вот новое задание))) https://znanija.com/task/36188427
LUXYPR1NCE: Буду очень благодарен, и еще было очень замечательно если я бы мог с вами где нибудь связываться
zveryakovanata: id92240104 в контакте
LUXYPR1NCE: Здравствуйте, там новое задание, можете сделать его если вам не трудно? https://znanija.com/task/36363547 )
Вас заинтересует