• Предмет: Алгебра
  • Автор: dANGERVALORANT
  • Вопрос задан 2 года назад

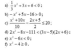
Решение неравенств, скиньте пожалуйста решение! Очень срочно надо!

Приложения:

Ответы

Ответ дал: nazaiat
2

Ответ: х € (-♾;-2] U [2;+♾)

Объяснение: f)

Приложения:
Ответ дал: Aalisha
3

Ответ:

на фото объяснение, если что-то не понятно спрашивайте!

Объяснение:

b) и d) нет решение.

Приложения:
Вас заинтересует