• Предмет: Алгебра
  • Автор: poopsic228
  • Вопрос задан 2 года назад

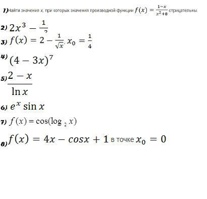
Производная и ее геометрический смысл(только ответы)

Приложения:

Ответы

Ответ дал: bakaevvitaliy
0

Ответ:

2) 6х^2-x

4) 21^6

Объяснение:

Вас заинтересует