• Предмет: Химия
  • Автор: lArimotonal
  • Вопрос задан 2 года назад

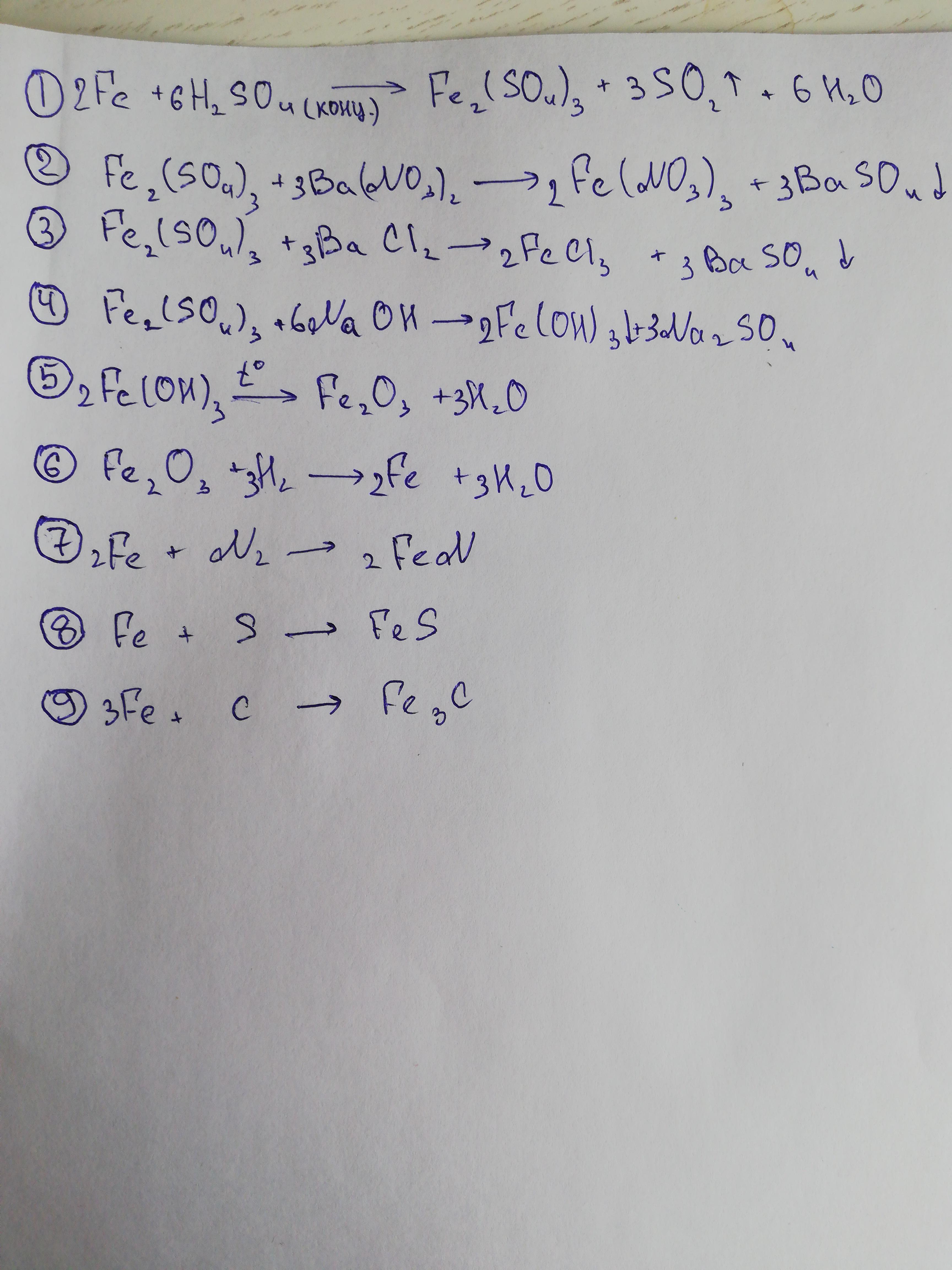
составить цепочку уравнений реакций..
помогите пожалуйста

Приложения:

Ответы

Ответ дал: Egor1223469863
1

Реакции приведены на листке

Приложения:
Вас заинтересует