• Предмет: Математика
  • Автор: ibocarov1457
  • Вопрос задан 2 года назад

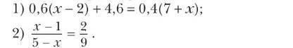
Найдите корень уравнения
(Уравнение на фото, ТОЛЬКО ВТОРОЕ)

Приложения:

Ответы

Ответ дал: tatsach
2

Ответ:

Пошаговое объяснение:

9(х-1)=2(5-х)

9х-9=10-2х

9х+2х=10+9

11х=19

х=19\11=1 8\11

Ответ дал: Ivanbolyaev
1

Ответ:

Пошаговое объяснение:

( x - 1 ) / ( 5 - x ) = 2/9

x ≠ 5

9( x - 1 ) = 2( 5 - x )

9x - 9 = 10 - 2x

11x = 19

x = 19/11

x = 1 8/11

Вас заинтересует