• Предмет: Математика
  • Автор: hilllik
  • Вопрос задан 2 года назад

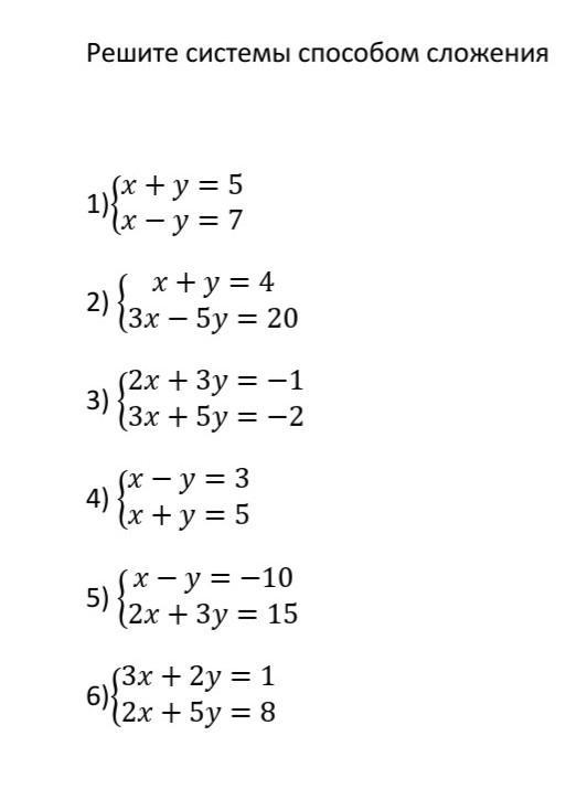
Реши системы способом сложения:

Приложения:

Ответы

Ответ дал: emrakhova
1

ответ:

написан после каждой системы

объяснение во вложении:

вроде всё понятно расписала

Приложения:

hilllik: спасибо
Вас заинтересует