• Предмет: Математика
  • Автор: amaliydamon1220
  • Вопрос задан 2 года назад

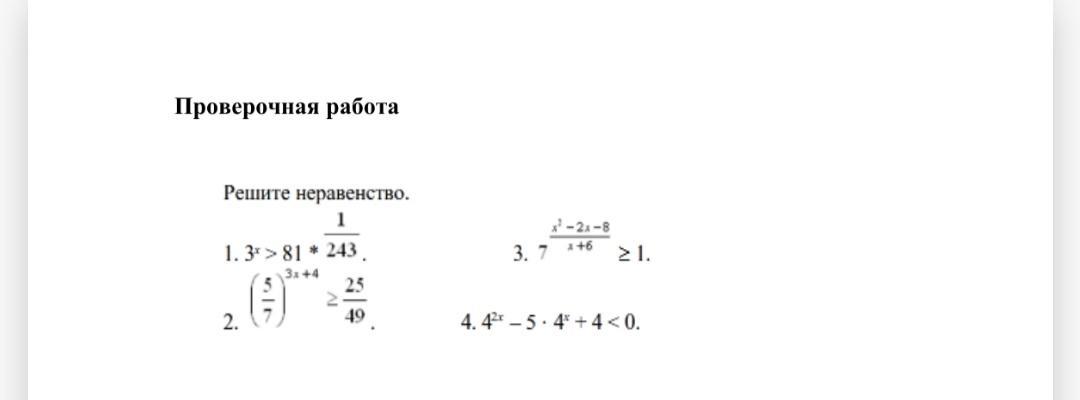
ДАЮ 40 БАЛЛОВ ЗА РЕШЕНИЯ НЕРАВЕНСТВ

Приложения:

Ответы

Ответ дал: whynotemil
0

Ответ:

1)-1

2)-2\3

Пошаговое объяснение:

1) 3в степени х> 3 в 4ой степени и 3 в -5 степени

получается х = -1 потому что степени прибавляются

2)справа это 5 седьмых во второй степени

получается 3х+4 = 2 =>  3х= -2 =>  x = -\frac{2}{3}

3) любое число в 0ой степени равно 1

тем самым приравниваешь это огромное уравнение к  0

4)это формула (a-b) в квадрате

ПОСТАВЬ СПАСИБО!(ТРУДИЛСЯ МИНУТ 5-6)


amaliydamon1220: Я поставила оценку пять , спасибо большое. Если что , у меня есть другое задание с функциями ,там 50 б)
Вас заинтересует