Ответы
Ответ дал:
0
5х-3у=10 ( домножим на 2)
х+2у=15 ( домножим на 3)
---------------
10х-6у=20
3х+6у=45
---------------
складываем:
13х=65
х=5
(подставим х в любое уравнение):
5+2у=15
2у=15-5
2у=10
у=5
Ответ. х= 5, у= 5
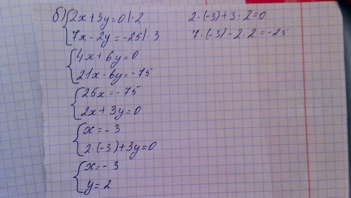
б) 2х+3у=0 (домножим на 2)
7х-2у=-25 ( домножим на 3)
4х+6у=0
21х-6у= - 75
------------------
складываем:
25х=-75
х= - 3
подставим х в любое уравнение
2^ (-3) + 3у=0
-6+3у=0
3у=6
у=2
Ответ . х= - 3, у= 2.
х+2у=15 ( домножим на 3)
---------------
10х-6у=20
3х+6у=45
---------------
складываем:
13х=65
х=5
(подставим х в любое уравнение):
5+2у=15
2у=15-5
2у=10
у=5
Ответ. х= 5, у= 5
б) 2х+3у=0 (домножим на 2)
7х-2у=-25 ( домножим на 3)
4х+6у=0
21х-6у= - 75
------------------
складываем:
25х=-75
х= - 3
подставим х в любое уравнение
2^ (-3) + 3у=0
-6+3у=0
3у=6
у=2
Ответ . х= - 3, у= 2.
Ответ дал:
0
Решение во вложениях
Приложения:
Вас заинтересует
3 года назад
8 лет назад
11 лет назад
11 лет назад
11 лет назад