• Предмет: Математика
  • Автор: gafgafagopfgakafg
  • Вопрос задан 2 года назад

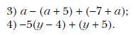
упростите выражения, 3,4

Приложения:

Ответы

Ответ дал: nataliapokotulo2801
0

3) а-(а+5)+(-7+а)= а-а-5-7+а=а-12

4) -5(у-4)+(у+5)= -5у+20+у+5=-4у+25

Вас заинтересует