Ответы
Ответ дал:
1
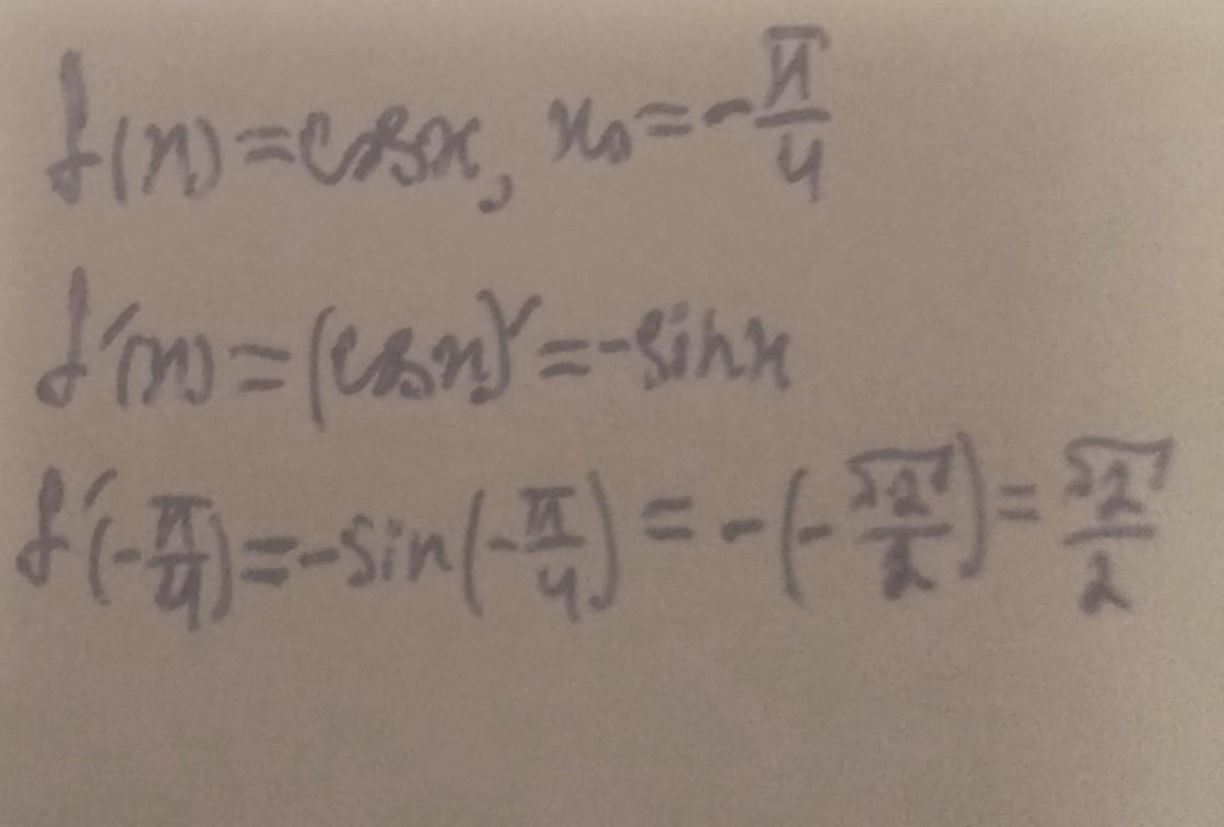
см.фото⬆️⬆️⬆️⬆️⬆️⬆️⬆️⬆️⬆️
Приложения:

Вас заинтересует
1 год назад
1 год назад
1 год назад
3 года назад
8 лет назад