Найдите длину параболы y=x*x на интервале x[0,10]​

Ответы

Ответ дал: qweqwe11121
1

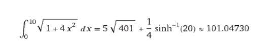
Ответ:...................................................

Объяснение:

Приложения:
Ответ дал: soulworld2000
0

Ответ:

function f(x:real):real;

begin

f:=x*x;

end;

const a=0;

     b=10;

var n,i:integer;

   h,d,x1,y1,x2,y2:real;

begin

write('На сколько отрезков разбить интервал n=');//чем больше тем точнее

readln(n);

h:=(b-a)/n;

d:=0;

for i:=1 to n do

begin

 x1:=a+(i-1)*h;

 y1:=f(x1);

 x2:=a+i*h;

 y2:=f(x2);

 d:=d+sqrt(sqr(x1-x2)+sqr(y1-y2));

end;

write('Длина отрезка параболы y=x^2 на отрезке 0-10=',d:0:2);

end.

Объяснение:

Вас заинтересует