• Предмет: Химия
  • Автор: mashafreewq
  • Вопрос задан 2 года назад

Помогите пожалуйста
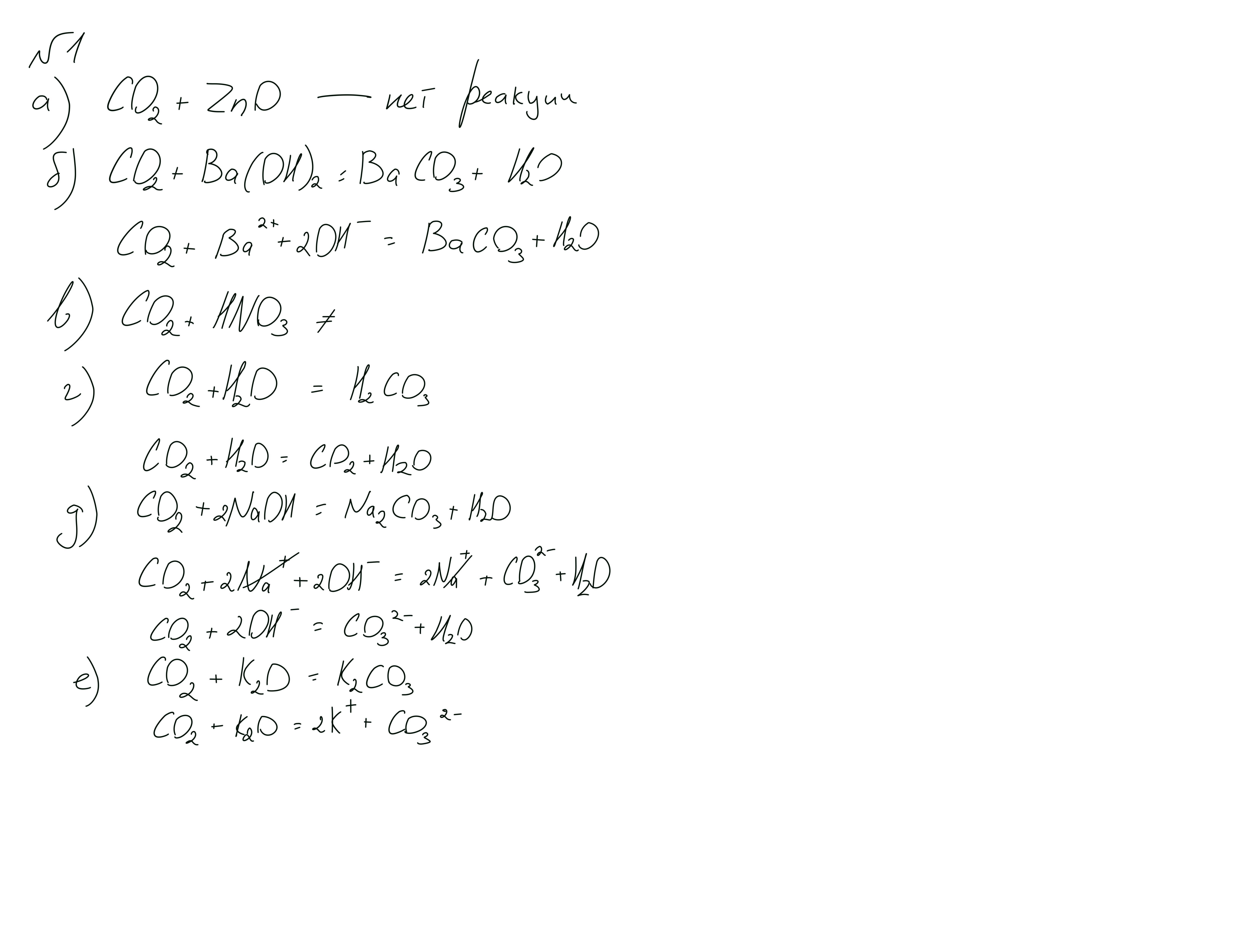
Приведите молекулярные и ионные уравнения возможных реакций между оксидом углерода (IV) и следующими веществами ZnO, Ba(OH)2,HNO3. H2O. NaOH. K2O.

Ответы

Ответ дал: sav1nav1k
7

Здесь все написано.

Ионный обмен это диссоциация в-в.

Не диссоциирует нерастворимые в-ва и оксиды

Отметь решение как лучшее, пожалуйста

Приложения:
Вас заинтересует