Ответы
Ответ дал:
0
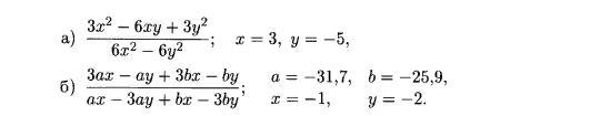
а)
1. вычисляем произведение; умножаем числа; выносим общий множитель для упрощения вычисления.
2. вычисляем степень; умножаем числа;
3. умножаем числа; вычисляем разность.
4. вычисляем сумму.
5. определяем знак дроби.
6. сокращаем.
1. вычисляем произведение; умножаем числа; выносим общий множитель для упрощения вычисления.
2. вычисляем степень; умножаем числа;
3. умножаем числа; вычисляем разность.
4. вычисляем сумму.
5. определяем знак дроби.
6. сокращаем.
Приложения:
Вас заинтересует
2 года назад
2 года назад
2 года назад
3 года назад
3 года назад
9 лет назад