• Предмет: Алгебра
  • Автор: sw0l
  • Вопрос задан 2 года назад

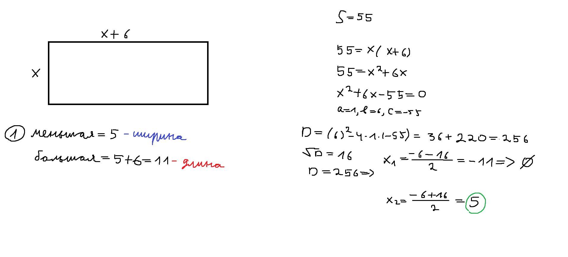
Детская площадка имеет форму прямоугольника, площадь которого равна 55 м2. Одна его сторона на 6 метр(-ов, -а) больше, чем другая. Детской площадке необходимо построить бордюр. В магазине продаётся материал для бордюра в упаковках. В одной упаковке имеется 25 метров(-а) материала.

1. Вычисли длину и ширину детской площадки.

Меньшая сторона детской площадки (целое число) равна:
м.

Большая сторона детской площадки (целое число) равна:
м.

2. Вычисли, сколько упаковок материала для бордюра необходимо купить.

Необходимое количество упаковок равно:

Ответы

Ответ дал: enderrock84
0

Ответ:

........................

Объяснение:

Приложения:
Вас заинтересует