• Предмет: Математика
  • Автор: katacerkasova50748
  • Вопрос задан 2 года назад

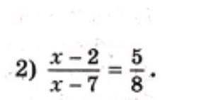
найти корень уравнения ​

Приложения:

Ответы

Ответ дал: sergeyfilippov2005
1

Ответ:

-6 целых 1/3

Пошаговое объяснение:

(x-7)x5=(x-2)x8

5x-35=8x-16

-3x=19

x=-19/3

x=-6  1/3

Вас заинтересует