• Предмет: Алгебра
  • Автор: sowisot154
  • Вопрос задан 2 года назад

ПОЖАЛУЙСТА. ДАЮ 30 БАЛЛОВ.
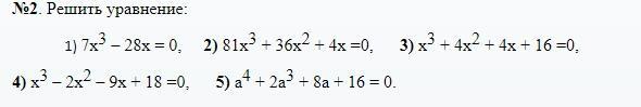
№2. Решить уравнение:
1) 7х3 – 28х = 0, 2) 81х3 + 36х2 + 4х =0, 3) х3 + 4х2 + 4х + 16 =0,
4) х3 – 2х2 – 9х + 18 =0, 5) a4 + 2a3 + 8a + 16 = 0.

Приложения:

Ответы

Ответ дал: sofiasaroglazova
1

Ответ:

1)x1=-2,x2=0,x3=2

2)x1=-0,222222, x2=0

3)x=-4

4)x1=-3,x2=2,x3=3

5)a=-2


sowisot154: Можно с решениями ?
Вас заинтересует