• Предмет: География
  • Автор: jgfjgfjgf
  • Вопрос задан 2 года назад

Умаляю сделайте срочно ДАЮ 35 БАЛЛОВ

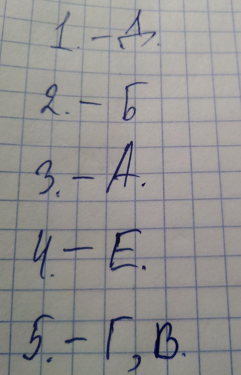
Найдите соответствие между океанами и объектами, что в них расположены
Вариант ответа Соответствие
1: Южный А: Гавайские о-ва, Берингово море, п-в Калифорния
2: Атлантический Б: Гвинейский залив, о.Исландия, п-в Флорида
3: Тихий В: о.Змеиный, п-в Индостан, Белое море
4: Северный Ледовитый Г: Аравийское море, п-в Индостан, Шри-Ланка
5: Индийский Д: п-в Антарктический, море Росса, море Уэдделла
Е: Новая Земля, море Лаптевых, п-в Ямал

Ответы

Ответ дал: elena33362
0

Ответ:1Огненное кольцо

2.Гольфстри

3.О.Мадагаскар

4.О.Новая Земля

Объяснение:

Ответ дал: muhametarovi
2

Ответ:

.....,......,.......,.......

Приложения:
Вас заинтересует