• Предмет: Математика
  • Автор: sergiyzay1
  • Вопрос задан 2 года назад

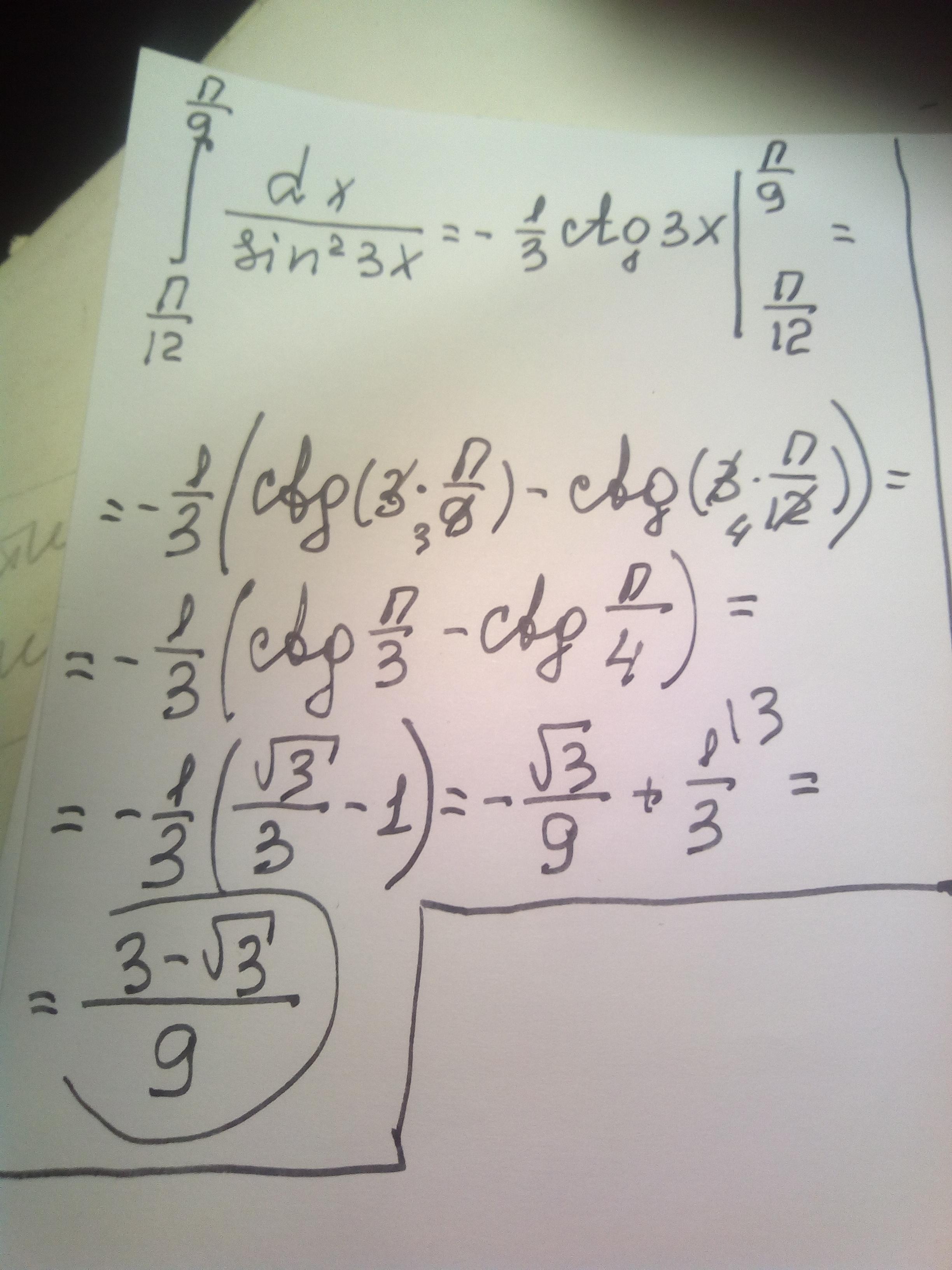
\int\limits^\frac{\pi }{9} _\frac{\pi }{12} \frac{dx}{sin^{2}3x }


manyny06: Плохо видно верхнюю границу интегрирования. Подскажи
sergiyzay1: pi/9
manyny06: ок. ужк решаю

Ответы

Ответ дал: manyny06
1

Ответ:

решение смотри на фотографии

Пошаговое объяснение:

Приложения:

sergiyzay1: Спасибо большое
Вас заинтересует