• Предмет: Алгебра
  • Автор: ed05080408
  • Вопрос задан 2 года назад

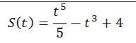
Помогите решить задачу

Приложения:

Ответы

Ответ дал: serjiof
1

Ответ:

Объяснение: a(t)=v'(t)

                       v(t)=s'(t)

v(t)=s'(t)=(t⁵/5-t³  +4)'=1/5·5t⁴-3t²=t⁴-3t²

a(t)=v'(t)=(t⁴-3t²)'=4t³-6t

a(t)=2, 4t³-6t=2

4t³-6t-2=0 Надо решить кубическое уравнение. Определим делители свободного члена: ±1;±2. Методом подбора найдем один корень

4·(-1)³-6·(-1)-2=-4+6-2=0, t=-1 - первый корень, (t+1) - первый множитель в разложении тричлена на множители. Разделим тричлен на (t+1) в столбик:

4t³ +0·t² -  6t - 2  ║t+1

4t³ +4t²                     4t²-4t-2

       -4t²  -  6t

       -4t²  -  4t

                   -2t - 2

                   -2t - 2

Найдем корни 4t²-4t-2=0, D=16-4·4·(-2)=48

t₁=(4-√48)/8=(1-√3)/2 меньше 0, t₂=(4+√48)/8=(1+√3)/2

Тричлен раскладывается на множители

4t³-6t-2=(t+1)(t-(1-√3)/2)(t-(1+√3)/2)

Нас интересуют только положительные ответы, т.е. только t=(1+√3)/2

       

Вас заинтересует