• Предмет: Химия
  • Автор: tay68264
  • Вопрос задан 2 года назад

Химия.помогите срочно!!даю 8 баллов.​

Приложения:

Ответы

Ответ дал: minyazovbulat
2

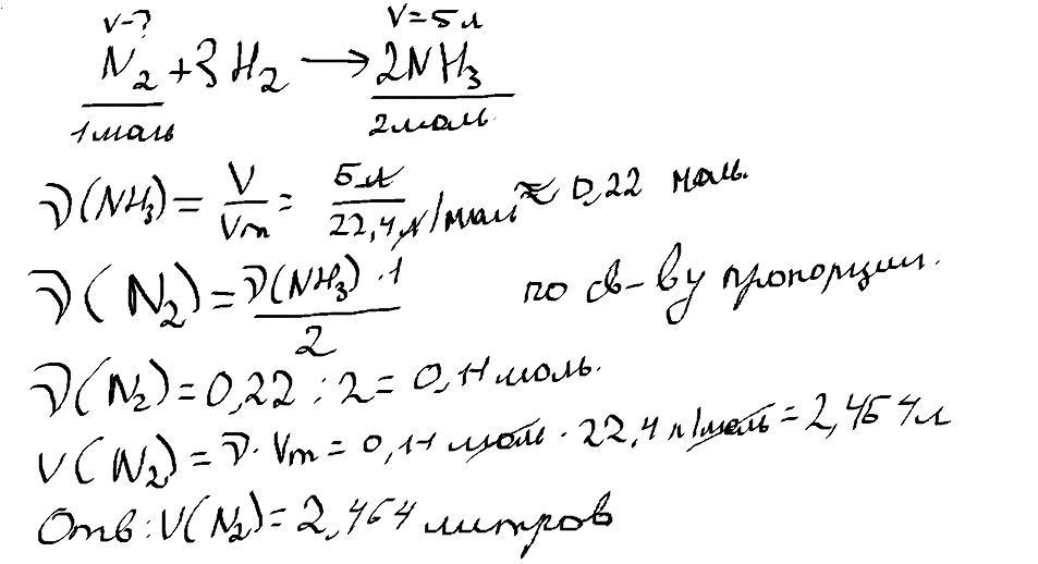
На скрине.

Объясню св - во пропорции.

У NH3 коэфициэнт 2, значит две порции (2 моль).

У N2 Коэфициэнт 1, значит одна порция.

Мы нашли моль NH3 = 0,22.

Составляем пропорцию, чтобы найти моль N2.

x/1=0,22/2

Чтобы найти x, мы 0,22*1/2.

Вся задача на скриншоте, сделанная в пеинте.

Приложения:
Вас заинтересует