Ответы
                                            Ответ дал: 
                                                                                    
                                        
                                            
                                                
                                                
                                                
                                                    0
                                                
                                            
                                        
                                    Ответ:
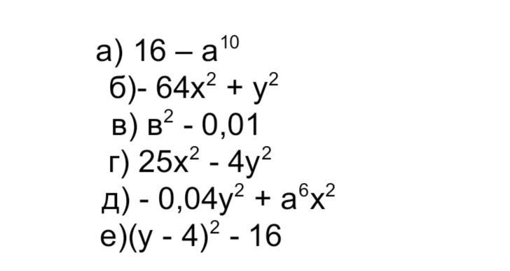
(4-а5)(4+а5)
(у²-64х²)=(у+8х)(у-8х)
(в+0,1)(в-0,1)
(5х-2у)(5х+2у)
а6х²-0,04у²=(а³х+0,2у)(а³х-0,2у)
[(у-4)-4]×[(у-4)+4]
Вас заинтересует
                
                        1 год назад
                    
                
                        1 год назад
                    
                
                        1 год назад
                    
                
                        3 года назад
                    
                
                        8 лет назад
                    
                