• Предмет: Математика
  • Автор: Аноним
  • Вопрос задан 2 года назад

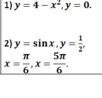
Вычислите (предварительно сделав рисунок) площадь фигуры, ограниченной линиями

Приложения:

Ответы

Ответ дал: Аноним
1

***************************Ответ:

Пошаговое объяснение:

Приложения:
Вас заинтересует