• Предмет: Алгебра
  • Автор: darkobarki
  • Вопрос задан 2 года назад

Домашнее задание:Решите систему уравнений способом алгебраического сложения:(Пример на фото)

Приложения:

Ответы

Ответ дал: Aalisha
3

Ответ:

если что-то не понятно, спросите!

Приложения:

darkobarki: Я извиняюсь но не могли бы вы мне помочь с геометрией?
darkobarki: мне нужно геометрию сделать на сегодня
darkobarki: я вам баллы за задание дам
Aalisha: не извините. я не могу решать геометрию)
Ответ дал: Пеппер
1

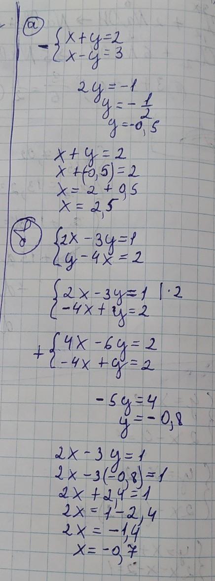
а)

х+у=2

х-у=3

2х=5;  х=2,5;  2,5+у=2;  у=2-2,5;  у=-0,5

Ответ: (2;  -0,5)

б)

2х-3у=1 (*2)

-4х+у=2

4х-6у=2

-4х+у=2

   -5у=4;  у=-0,8;  -4х-0,8=2;  -4х=2,8;  х=-0,7

Ответ: (-0,7;  -0,8)


darkobarki: Пеппер ,не могли бы вы мне помочь с геометрией?
darkobarki: я вам баллы за задание дам
darkobarki: мне на сегодня надо просто сделать
darkobarki: помогите пожалуйста
Вас заинтересует