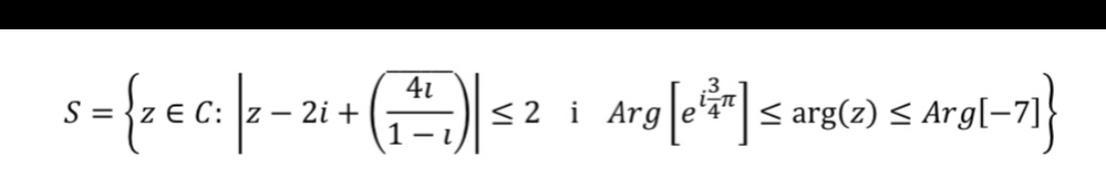
Комплексные числа. Простое задание. Нужно изобразить на координатной плоскости. Все преобразования и тд подробно расписать
Приложения:

Ответа на этот вопрос пока нет. Попробуйте найти его через форму поиска.
Вас заинтересует
2 года назад
2 года назад
3 года назад
3 года назад
9 лет назад