• Предмет: Алгебра
  • Автор: меллори
  • Вопрос задан 2 года назад

помогите решить срочно​

Приложения:

Ответы

Ответ дал: artemijsosnovskih
1

Ответ:

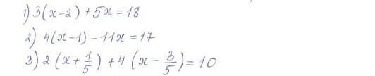
1) 3

2)3

3)2

Объяснение:

1) раскрываем скобки

3х-6+5х=18

8х=24

х=3

2) раскрываем скобки

4х-4-11х=17

4х-11х=17+4

7х=21

3) раскрываем скобки

2х+2/5+4х-12/5=10

2х+4х=10+2

6х=12

х=2

Вас заинтересует