• Предмет: Алгебра
  • Автор: daniilzhilenkov1
  • Вопрос задан 2 года назад

Помогите, пожалуйста, решить уравнение по алгебре, 9 класс

Приложения:

Zombynella: Может, уже поздно (5 дней прошло), ну, может, пригодится)

Ответы

Ответ дал: Zombynella
0

Ответ:

х₁= -1,5

х₂=1

Объяснение:

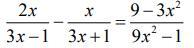
2х/(3х-1) - х/(3х+1)=(9-3х²)/(9х²-1)

Преобразуем сначала левую часть.

2х/(3х-1) - х/(3х+1)= общий знаменатель  (3х-1)(3х+1)=

=[(3х+1)*2х - (3х-1)*х] / (3х-1)(3х+1)= раскрываем скобки=

=(6х²+2х-3х²+х)/(9х²-1)=

=(3х²+3х)/(9х²-1);

Так как знаменатели левой и правой дробей равны, можем приравнять и числители:

3х²+3х=9-3х²

3х²+3х-9+3х²=0

6х²+3х-9=0, квадратное уравнение, ищем корни:

х₁,₂=(-3±√9+216)/12

х₁,₂=(-3±√225)/12

х₁,₂=(-3±15)/12

х₁= -18/12= -1,5

х₂=12/12=1

Проверка:

при х= -1,5

2,25/19,25=2,25/19,25

при х=1

0,75=0,75

Вас заинтересует