• Предмет: Алгебра
  • Автор: Prostolosharik19
  • Вопрос задан 2 года назад

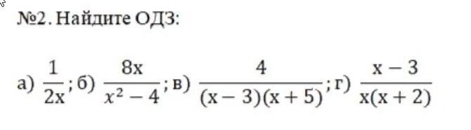
Ребят, помогите пж найти ОДЗ. Желательно с объяснением .

Приложения:

Ответы

Ответ дал: vityamath
1

Объяснение:

Решение на фотографии

Приложения:
Ответ дал: mikhailmelehin
0

а) ОДЗ: x не равен нулю

б) ОДЗ: х не равен +-2

в) ОДЗ: х не равен 3 и -5

г) ОДЗ: х не равен 0 и -2

Вас заинтересует