Ответы
Ответ дал:
0
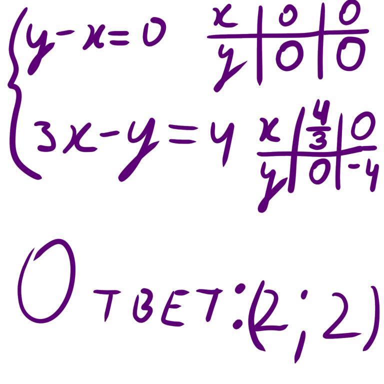
Точка пересечения: (2; 2)
Приложения:

Вас заинтересует
1 год назад
1 год назад
3 года назад
8 лет назад