• Предмет: Химия
  • Автор: akop525
  • Вопрос задан 2 года назад

Помогите с химией. ​

Приложения:

minyazovbulat: Что нужно
akop525: я фото добавил
minyazovbulat: Всё изи , жди 5 минут
akop525: хорошо, спасибо
akop525: спасибо тебе большое
akop525: как тебе балов дать?

Ответы

Ответ дал: minyazovbulat
1

Ответ:

Задание 1.

Al - амфотерный металл. Его порядковый номер - 13. Это говорит о его заряде.

e: 13

p: 13

n: M - p.

Он находится в третем периоде , следовательно у него три слоя электронов. Находится в третей группе, что говорит о его максимальных трёх электронах во внешнем слое.

Задание 2.

Металические свойства изменяются на лево и вниз. Самый сильный металл в левом нинем углу, Fr.

K и Fe.

Калий находится не ниже , не выше Fe, он с ним в одном, четвертом периоде. Но свойства увеличиваются налево и вниз. А калий , в свою очередь, левее , чем Fe. Следовательно сильнее.

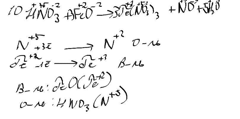
Задание 3.

На скрине.

Приложения:
Вас заинтересует