• Предмет: Алгебра
  • Автор: IngaSeradzinova
  • Вопрос задан 2 года назад

Подробно!
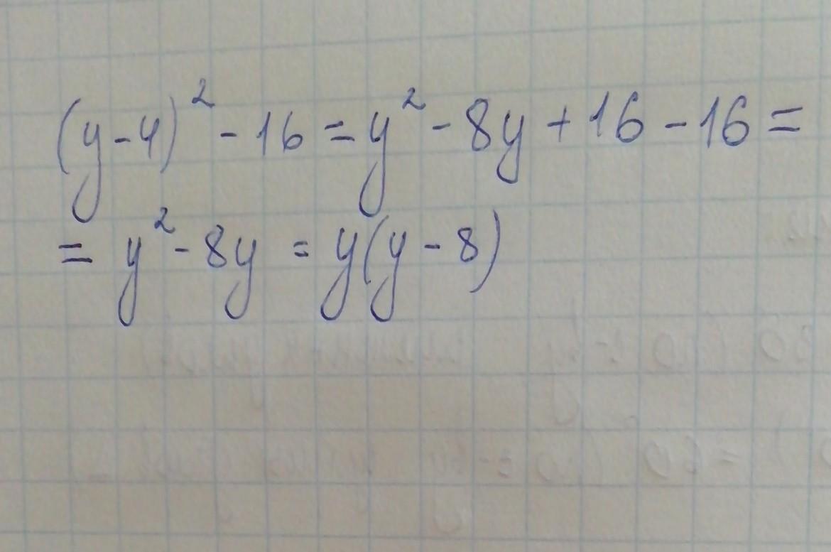
(y-4)²-16=

Ответы

Ответ дал: ktoetakoy
0

Ответ:

y*(y-8)

Объяснение:

(y-4-4)*(y-4+4)

(y-8) y

y*(y-8)

Ответ дал: vera660
0

(y-4)^2 мы расклвдываем по формуле сокращённого умножения

(а-b)^2=a^2-2ab+b^2

Приложения:
Вас заинтересует