• Предмет: Алгебра
  • Автор: BaconPancaker
  • Вопрос задан 2 года назад

Только четные пожалуйста​

Приложения:

Ответы

Ответ дал: Slavchansky
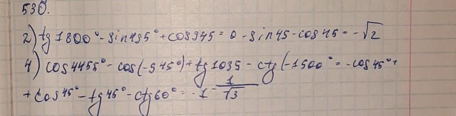
2

Решение во вложении...

Приложения:
Ответ дал: MisterPickles
1

Вот ..

2) - √2

4) -1 - (1/√3)

Вас заинтересует