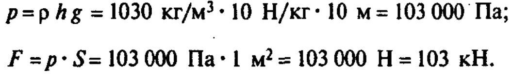
Водолаз погружается в морскую воду. Рассчитайте какую силу испытывает каждый квадратный метр костюма, при погружении на глубину 10м (метров)?,
Ответы
                                            Ответ дал: 
                                                                                    
                                        
                                            
                                                
                                                
                                                
                                                    1
                                                
                                            
                                        
                                    Ответ:решение на скриншоте
Объяснение:
Приложения:
                    
                            
                            Вас заинтересует
                
                        1 год назад
                    
                
                        1 год назад
                    
                
                        1 год назад
                    
                
                        3 года назад
                    
                
                        8 лет назад