• Предмет: Алгебра
  • Автор: zhandylbekov
  • Вопрос задан 2 года назад

помогите пожалуйста решить уравнение

Приложения:

Ответы

Ответ дал: ВладимирБ
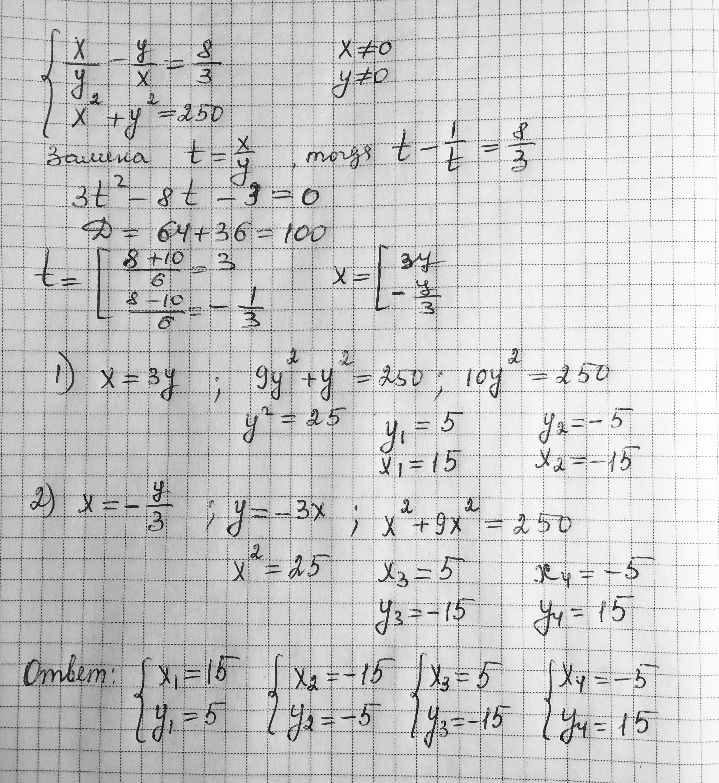
6

Ответ:

Объяснение:

.............................

Приложения:

david777ge: Здравствуйте ! Очень прошу , помогите https://znanija.com/task/36032074 Вас должен интересовать
david777ge: Обращение к ВладимирБ
bikabushhhh: Здравствуйте можете помочь пожалуйста
bikabushhhh: https://znanija.com/task/36212468
david777ge: Неужели не можете решать https://znanija.com/task/36032074
Zombynella: Ещё к кому-нибудь обратитесь, если ВладимирБ. молчит)
david777ge: Как я понимаю "ВЫЗЫВАЮ ОГОНЬ НА СЕБЯ ! " Помогите Вы
Zombynella: )) Очень смешно) Если бы была в теме, давно решила бы. Но , извини)
alikalhan222: помогите мне с алгеброй у меня в вопросах
Materikadogoi: Здравствуйте я плохо разбираюсь можете мне помочь с математике умоляю пожалуйста
Вас заинтересует